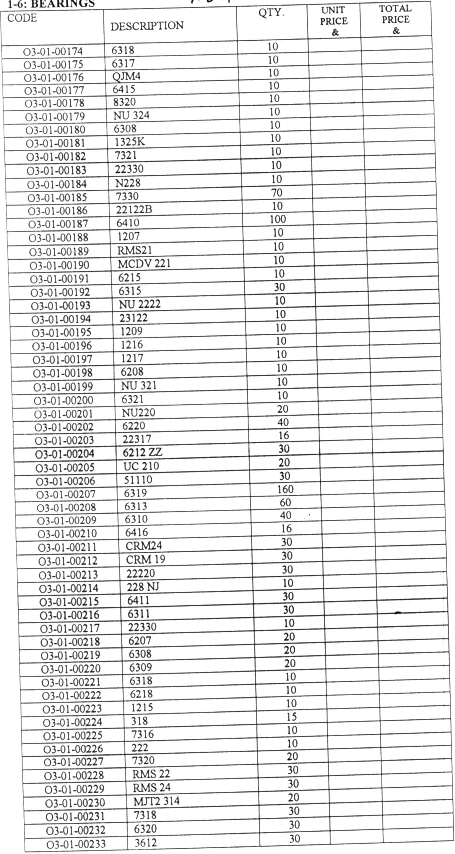
1
-
6
:
BEARIN
t
-
i